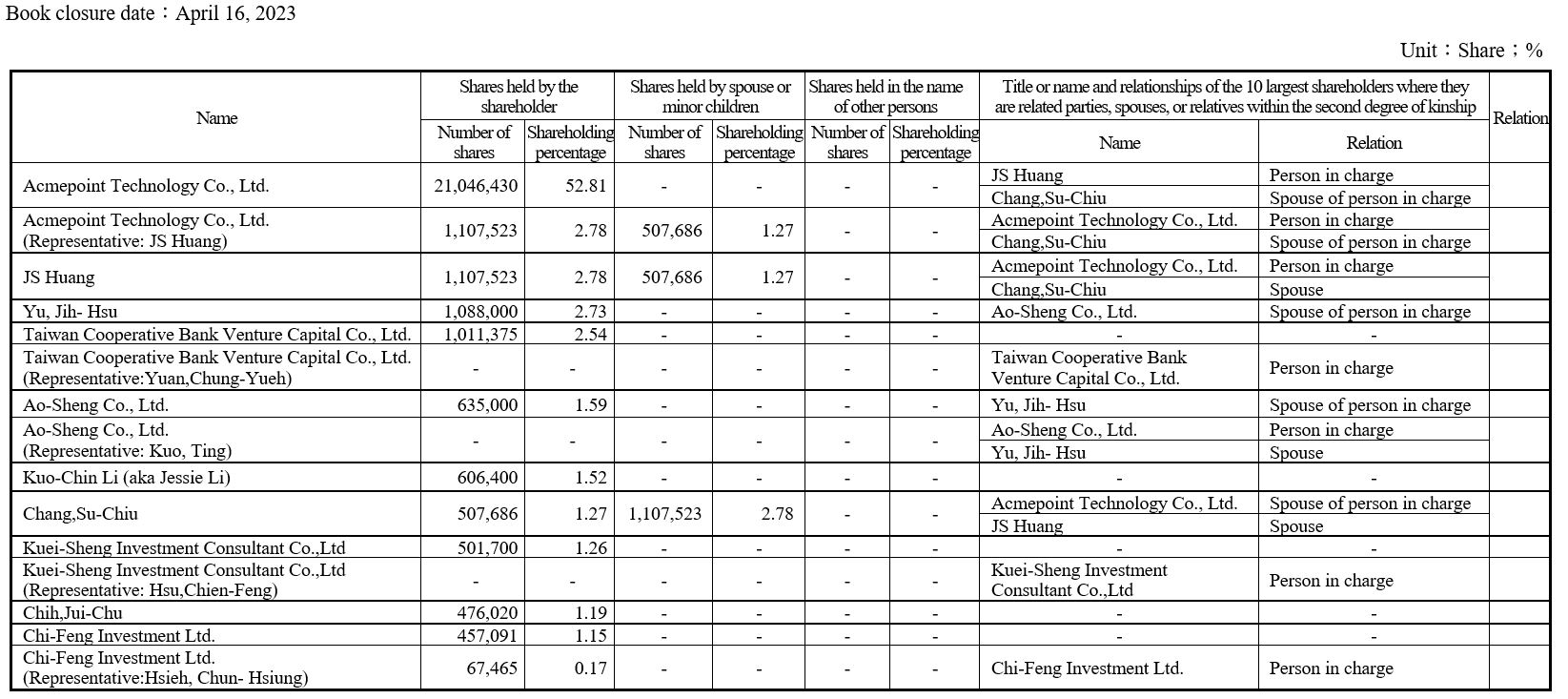
Information on whether the top ten shareholders by shareholding ratio are affiliated, or spouses, or related within the second degree of consanguinity
Top 10 Major Shareholders

Head Office
Tel:886-2-8791-2886
Office Address:
6F., No. 257, Xinhu 2nd Rd., Neihu Dist.,
Taipei City, Taiwan (R.O.C.)
North Business Center
Tel:886-3-2872-657
Office Address:
3F.-1, No. 268, Sec. 1, Gaotiezhanqian W. Rd., Zhongli Dist., Taoyuan City, Taiwan (R.O.C.)
Central Business Center
Tel:886-4-2252-5559
Office Address:
11F-1, No. 238, Shizheng N. 2nd Rd., Xitun Dist., Taichung City, Taiwan (R.O.C.)
South Business Center
Tel:886-7-3347-879
Office Address:
7F.-3, No. 2, Zhongshan 2nd Rd., Qianzhen Dist., Kaohsiung City, Taiwan (R.O.C.)
ACMEPOINT ENERGY SERVICES CO., LTD.
ACMEPOINT ENERGY SERVICES CO., LTD., is a green energy company specializing in integrating energy development, energy storage, and power monitoring technologies.
We specialize in solar power plant planning, construction, maintenance, monitoring, and assistance with government subsidy applications.



